T
浙江法制报 数字报纸
上一期
下一期
上一版
下一版
00010版:公 告
上一版
下一版
打印版面图
下载PDF文件
下载jpg图像
文章导航
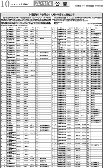
中国长城资产管理公司杭州办事处债权催收公告
2016年11月04日 星期五
版面导航
下 载
00001版:一版要闻
00002版:新 闻
00003版:世 相
00004版:纵 深
00005版:平 安
00006版:天 平
00007版:看 法
00008版:公 告
00009版:公 告
00010版:公 告
00011版:公 告
00012版:庭 审
00013版:中缝
按日期查阅
日
一
二
三
四
五
六
浙江法制报
公 告
00010
2016-11-04
1
2016年11月04日 星期五