公告
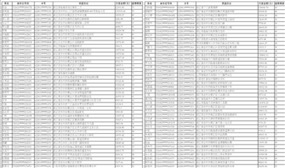
![]() |
下列信用卡账户透支时间超过约定时间,且逾期时间很长,经多次催收后未予以归还,此拖欠行为已属于违法,并可能构成信用卡诈骗罪,现予以公告催收,请各位持卡人自登报之日起十日内立即履行还本付息义务。对拒不还款者,将依法向公安机关报案查处。(上述信用卡欠款金额截至2020年12月4日)中国邮政储蓄银行股份有限公司台州市分行
2020年12月23日
![]() |
下列信用卡账户透支时间超过约定时间,且逾期时间很长,经多次催收后未予以归还,此拖欠行为已属于违法,并可能构成信用卡诈骗罪,现予以公告催收,请各位持卡人自登报之日起十日内立即履行还本付息义务。对拒不还款者,将依法向公安机关报案查处。(上述信用卡欠款金额截至2020年12月4日)中国邮政储蓄银行股份有限公司台州市分行
2020年12月23日