催收公告
![]() |
![]() |
![]() |
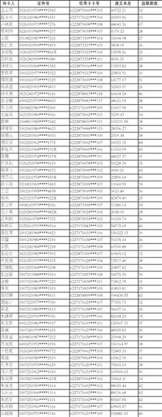
单位:人民币元 |
因下列客户(持卡人)信用卡账户透支本息严重逾期,经我行多次催收,截至2022年6月12日仍未还清透支本息,为维护我行合法权益,现予以公告。
请下列客户(持卡人)在本公告之日起三日之内归还透支本息(具体透支本息请拨打客服电话95347确认),对拒不还款者,我行将通过司法途径维护我行合法权益。(下列信用卡透支本息截至2022年6月12日)。
特此公告!浙江泰隆商业银行股份有限公司
2022年6月29日
![]() |
![]() |
![]() |
单位:人民币元 |
因下列客户(持卡人)信用卡账户透支本息严重逾期,经我行多次催收,截至2022年6月12日仍未还清透支本息,为维护我行合法权益,现予以公告。
请下列客户(持卡人)在本公告之日起三日之内归还透支本息(具体透支本息请拨打客服电话95347确认),对拒不还款者,我行将通过司法途径维护我行合法权益。(下列信用卡透支本息截至2022年6月12日)。
特此公告!浙江泰隆商业银行股份有限公司
2022年6月29日