中国农业银行股份有限公司浙江省分行债权催收公告
![]() |
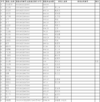
| 机构名称:豪江分行 自然人债权清单 单位:元 |
![]() |
![]() |
| 附件1 法人债权清单 机构名称:浙江分行 单位:元 |
根据国家有关法律法规、司法解释和政策规定,对下列逾期债务予以公告催收(详见清单),清单所列之债务已剥离至财政部,并经财政部授权委托给农行进行清收,请借款人和担保人及时向我行及下属分支机构履行偿还欠款本息的义务(若借款人、担保人因各种原因发生更名、改制、歇业、吊销营业执照或者丧失民事主体资格等情形,请相关承债主体、清算主体代为履行义务或者承担清算责任)。
所列清单仅列明截至2021年12月31日的本金余额,利息、罚息、复利按照合同约定和中国人民银行有关规定另行计算,借款人和担保人应承担的还款责任以实际履行时根据主合同及担保合同约定计算的数领为准,除特别注明外,均指人民币,单位为元。
中国农业银行股份有限公司浙江省分行
2022年4月12日


