杭州殡仪馆关于对超期存放骨灰盒实施生态安葬的公告
![]() |
![]() |
![]() |
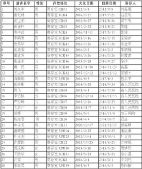
杭州殡仪馆现对馆内超期存放三年以上无人续费和认领的骨灰盒相关信息公告如下:一、超期存放骨灰盒信息
二、办理须知
请超期存放骨灰盒的丧主在公告见报之日起30日内,携带寄存证到杭州殡仪馆骨灰寄存楼办理骨灰续存或取回手续。逾期不办的,我馆将统一把骨灰盒移至陵园壁葬区存放,存放期为两年。两年内仍无人认领的,我馆将依照相关程序对骨灰实施生态安葬。
三、联系方式
杭州殡仪馆地址:杭州市西溪路731号,咨询电话:0571-85229184、0571-85229863
特此公告。杭州殡仪馆
2022年12月2日


