浙江省浙商资产管理有限公司 浙江联盛创业投资有限公司债权转让通知暨债务催收联合公告
![]() |
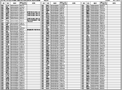
截止时间:2018年4月20日 注:1、清单中“担保人”包括保证人、抵押人、出质人,担保人的担保范围以签署的合同等法律文件约定为准。如公告中债务人、合同编号、债权金额、担保人等信息与事实不符的,以签署的合同等法律文件约定为准。 2、本公告清单仅列示截至2018年4月20日的贷款本金余额,借款人和担保人应支付给浙江联盛创业投资有限公司的利息、罚息、违约金及其它应付款按借款合同、担保合同及中国人民银行的有关规定或生效法律文书确定的方法计算。已经进入诉讼程序的,并已由浙江省浙商资产管理有限公司垫付的应由借款人及担保人负担的诉讼费、执行费等以有关法律文书确定的金额为准。 3、若借款人、担保人因各种原因更名、改制、歇业、吊销营业执照或丧失民事主体资格的,请相关承债主体或主管部门代位履行义务或履行清算责任。 |
根据法律及财政部、银监会的有关规定,以及浙江省浙商资产管理有限公司与浙江联盛创业投资有限公司于2018年5月3日签署的《债权转让协议》,浙江省浙商资产管理有限公司已将其对附件所列借款人及其担保人项下享有的全部权利(包括但不限于主债权、担保债权、违约金债权、损失赔偿权、利息债权)依法转让给浙江联盛创业投资有限公司。浙江省浙商资产管理有限公司与浙江联盛创业投资有限公司联合公告通知各借款人及其担保人以及其他相关各方。
浙江联盛创业投资有限公司作为上述债权的受让方,现公告要求附件所列借款人及其担保人,从公告之日起立即向浙江联盛创业投资有限公司履行主债权合同及担保合同约定的偿付义务或相应的担保责任。
特此公告!
浙江省浙商资产管理有限公司 联系电话:0575-81501699
浙江联盛创业投资有限公司 联系电话:13906850800
附件:债权资产明细表
浙江省浙商资产管理有限公司
浙江联盛创业投资有限公司
2018年6月26日
