中国东方资产管理股份有限公司浙江省分公司债权催收公告
![]() |
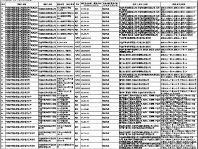
根据中国银行股份有限公司宁波市分行与中国东方资产管理股份有限公司浙江省分公司达成的债权转让安排,中国银行股份有限公司宁波市分行(所辖各分支机构)已将其公告清单中所列主体享有的债权(包括本金及其相应利息和费用)转让给中国东方资产管理股份有限公司浙江省分公司,各债权所对应的《借款合同》及《担保合同》项下的全部权利也已依法转让给中国东方资产管理股份有限公司浙江省分公司,但下列债务人和担保人未能及时履行相应合同约定的还款义务,请尽快向中国东方资产管理股份有限公司浙江省分公司履行相应合同约定的还本付息义务。本债权催收公告利息一栏中的“相应利息”为:债务人按照《借款合同》约定及中国东方资产管理股份有限公司浙江省分公司依照中国人民银行的计息规定所计应予履行的利息金额。
特此公告。
中国东方资产管理股份有限公司浙江省分公司
2018年10月24日
联系地址:杭州市庆春路225号西湖时代广场五楼
邮政编码:310006
联系电话:(0571)87163190 87163432
传真:(0571)87163191
