逾期贷款催收公告
![]() |
![]() |
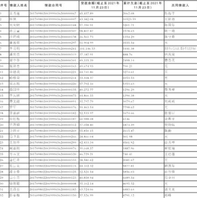
| 单位:人民币元 |
因下列客户拖欠我行贷款,并经我行多次催收仍未按约履行清偿义务,截至2021年11月23日仍未还清逾期贷款本息,为维护我行的合法权益,我行现按合同约定,宣布贷款提前到期,现予以公告。请下列客户及共同借款人在本公告之日起十日内归还贷款本息,否则,我行将采取法律手段进行追偿。
特此公告!浙江安吉交银村镇银行
2021年12月6日
![]() |
![]() |
| 单位:人民币元 |
因下列客户拖欠我行贷款,并经我行多次催收仍未按约履行清偿义务,截至2021年11月23日仍未还清逾期贷款本息,为维护我行的合法权益,我行现按合同约定,宣布贷款提前到期,现予以公告。请下列客户及共同借款人在本公告之日起十日内归还贷款本息,否则,我行将采取法律手段进行追偿。
特此公告!浙江安吉交银村镇银行
2021年12月6日